ქიმიის ტერმინთა განმარტებითი ლექსიკონი
- ინგლისურ-ქართული
- ქართულ-ინგლისური
- ლექსიკონის შესახებ
- გამოხმაურება

| discotic mesogen | დისკოტური მეზოგენი |
| polymer chemistry | პოლიმერების ქიმია |
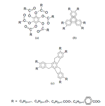
Mesogen composed of relatively flat, disc- or sheet-shaped molecules. Note 1: Examples are: hexakis(acyloxy)benzenes (a), hexakis(acyloxy)- and hexakis(alkoxy)-triphenylenes (b), 5H,10H,15H-diindeno[1,2-a:1´,2´-c]fluorene derivatives (c). Note 2: The adjective “discotic” is also employed to describe the nematic mesophases formed by discotic mesogens. The mesophases formed by a columnar stacking of disc-like molecules are described as columnar mesophases. |
მეზოგენი, რომელიც შედგება შედარებით ბრტყელი, დისკოს ან ფურცლის ფორმის მოლეკულებისგან. შენიშვნა 1: მაგალითებია: ჰექსაკის(აცილოქსი)ბენზოლები (ა), ჰექსაკის(აცილოქსი)- და ჰექსაკის(ალკოქსი)-ტრიფენილენები (ბ), 5H,10H,15H-დიინდენო[1,2-a:1´,2´-გ]ფთორის წარმოებულები (გ). შენიშვნა 2: ზედსართავი სახელი „დისკოტური“ ასევე გამოიყენება დისკოტური მეზოგენების მიერ წარმოქმნილი ნემატური მეზოფაზების აღსაწერად. დისკოსებრი მოლეკულების სვეტური დაწყობით წარმოქმნილ მეზოფაზებს სვეტური მეზოფაზები ეწოდება. |
| Source | წყარო: R. G. Jones and Union, Compendium of polymer terminology and nomenclature : IUPAC recommendations 2008. Cambridge: Royal Society Of Chemistry, 2009. |
|






