ქიმიის ტერმინთა განმარტებითი ლექსიკონი
- ინგლისურ-ქართული
- ქართულ-ინგლისური
- ლექსიკონის შესახებ
- გამოხმაურება

| transtactic polymer | ტრანსტაქტიკური პოლიმერი |
| polymer chemistry | პოლიმერების ქიმია |
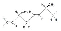
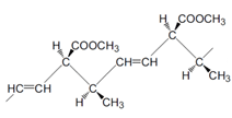
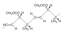
Tactic polymer in which the main-chain double bonds of the configurational base units are entirely in the E configuration.
Note 1: Terms referring to the tacticity of polymers (tactic, ditactic, tritactic, isotactic, cistactic, etc.) can also be applied with similar significance to chains, sequences, blocks, etc.
Note 2: Terms defining stereochemical arrangements are to be italicized only when they form part of the name of a polymer; the use of such terms as adjectives, even when immediately preceding names, does not require italics. This practice is illustrated in the examples below.
Examples:
and/or
and/or
|
ტაქტიკური პოლიმერი, რომელშიც კონფიგურაციული საბაზისო ერთეულების მთავარი ჯაჭვის ყველა ორმაგი ბმა E კონფიგურაციაშია.
შენიშვნა 1: ტერმინები, რომლებიც ეხება პოლიმერების ტაქტიკურობას (ტაქტიკური, დიტაქტიკური, ტრიტაქტიკური, იზოტაქტიკური, ცისტაქტიკური და ა.შ.) ასევე შეიძლება გამოყენებულ იქნას მსგავსი მნიშვნელობით ჯაჭვებზე, თანმიმდევრობებზე, ბლოკებზე და ა.შ.
შენიშვნა 2: სტერეოქიმიური განლაგების განმსაზღვრელი ტერმინები უნდა იყოს დახრილი მხოლოდ მაშინ, როდესაც ისინი პოლიმერის სახელწოდების ნაწილს წარმოადგენენ; ისეთი ტერმინების გამოყენება, როგორიცაა ზედსართავი სახელები, მაშინაც კი, როდესაც უშუალოდ წინ უსწრებს სახელებს, არ საჭიროებს დახრას. ეს პრაქტიკა ილუსტრირებულია ქვემოთ მოცემულ მაგალითებში.
მაგალითები:
და/ან
და/ან |
| Source | წყარო: Purple Book, p. 33 R. G. Jones and Union, Compendium of polymer terminology and nomenclature : IUPAC recommendations 2008. Cambridge: Royal Society Of Chemistry, 2009. |
|







