ქიმიის ტერმინთა განმარტებითი ლექსიკონი
- ინგლისურ-ქართული
- ქართულ-ინგლისური
- ლექსიკონის შესახებ
- გამოხმაურება

| electric dipole moment, p, μ (2) | ელექტრული დიპოლური მომენტი, p, μ (2) |
| Analytical chemistry | ანალიზური ქიმია |
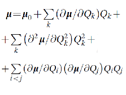
Vector quantity of a dipole that in an electric field (E) has a potential energy Ep=-p · E Note 1: The direction of the dipole moment is from the negative to the positive charge. Note 2: Electric dipole moment has also the magnitude of equal separated charges of opposite sign times the distance between them. It is usually expanded as: higher order terms, where the Qk, etc. are the normal coordinates and μo is the equilibrium dipole moment of the molecule. Note 3: SI unit: C m. Common unit: Debye, DE ≈ 3.33564×10-30 C m. |
დიპოლის ვექტორული სიდიდე, რომელსაც ელექტრულ ველში (E) აქვს პოტენციური ენერგია Ep=-p · E შენიშვნა 1: დიპოლური მომენტი მიმართულია უარყოფითი მუხტიდან დადებითი მუხტისკენ. შენიშვნა 2: ელექტრული დიპოლური მომენტი ასევე უდრის საპირისპირო ნიშნის მქონე განცალკავებული თანაბარი მუხტების სიდიდის ნამრავლს მათ შორის მანძილზე. ის, როგორც წესი, ჩაიწერება შემდეგნაირად: უფრო მაღალი რიგის წევრები, სადაც Qk და ა. შ. არის ნორმალური კოორდინატები, ხოლო μo არის მოლეკულის წონასწორობის დიპოლური მომენტი. შენიშვნა 3: SI ერთეულია კულ . მ, მიღებული ერთეულია დებაი, 1 დებაი ≈ 3.33564 x 10-30 კულ . მ. |
| See also: electric dipole moment, p, μ (1) | ასევე იხილეთ: ელექტრული დიპოლური მომენტი, p, μ (1) |
| Source | წყარო: D. B. Hibbert, Compendium of terminology in analytical chemistry. Cambridge: Royal Society Of Chemistry, 2019 |
|






