ქიმიის ტერმინთა განმარტებითი ლექსიკონი
- ინგლისურ-ქართული
- ქართულ-ინგლისური
- ლექსიკონის შესახებ
- გამოხმაურება

| disyndiotactic polymer | დისინდიოტაქტიკური პოლიმერი |
| polymer chemistry | პოლიმერების ქიმია |
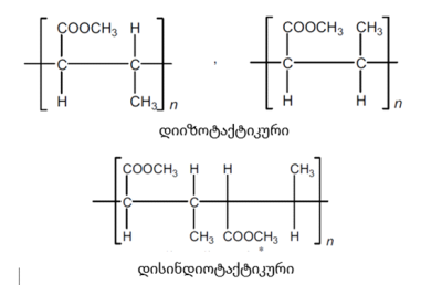
Syndiotactic polymer that contains two chiral or prochiral atoms with defined stereochemistry in the main chain of the configurational base unit.
Examples:
A polymer with the repeating unit
is ditactic and may be described as syndiotactic, but it is not disyndiotactic. |
სინდიოტაქტიკური პოლიმერი, რომელიც კონფიგურაციული საბაზისო ერთეულის მთავარ ჯაჭვში შეიცავს ორ ქირალურ ან პროქირალურ ატომს განსაზღვრული სტერეოქიმიით. მაგალითები:
პოლიმერი განმეორებადი ერთეულით არის დიტაქტიკური და შეიძლება აღწერილი იყოს, როგორც სინდიოტაქტიკური), მაგრამ ის არ არის დისინდიოტაქტიკური.
|
| Source | წყარო: Purple Book, p. 32 R. G. Jones and Union, Compendium of polymer terminology and nomenclature : IUPAC recommendations 2008. Cambridge: Royal Society Of Chemistry, 2009. |
|








